Anketiranje studenata s ciljem provjere kvalitete studiranja na Sveučilištu Josipa Jurja Strossmayera u Osijeku provodi se od 2006. godine. Studentska anketa predstavlja integralni dio procesa studentskog vrjednovanja nastave na Sveučilištu u Osijeku.
Jedinstvena sveučilišna studentska anketa za akademsku 2024./2025. godinu provedena je na Sveučilištu Josipa Jurja Strossmayera u Osijeku od svibnja (samo završne godine) te tijekom rujna i listopada 2025. godine. Anketi su pristupili studenti svih godina sveučilišnih i stručnih studija sa 18 sastavnica sveučilišta, a evaluirali su predmete, nastavnike i suradnike u tekućoj akademskoj godini. U anketi je sudjelovalo 9 502 studenata što je 81.562% od ukupno 11 650 studenata koji su mogli pristupiti anketi (https://anketa.unios.hr/rezultati2025/).
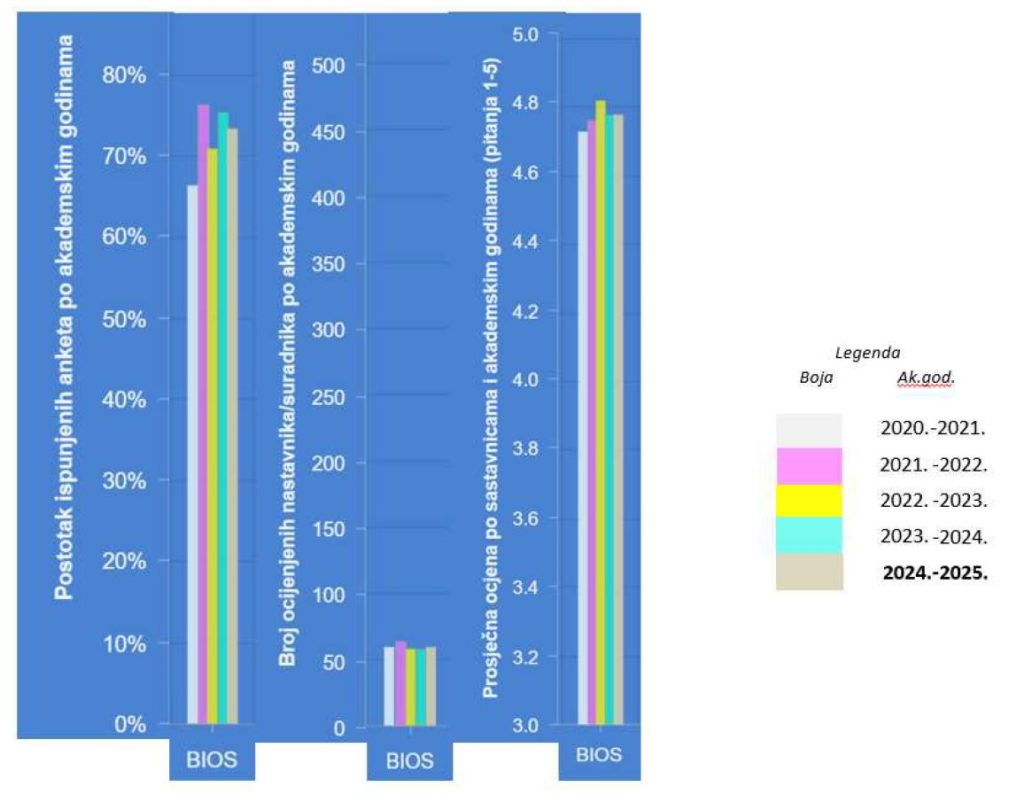
Jedinstvenu sveučilišnu studentsku anketu ispunilo je 160 (od ukupno 218) studenata Odjela za biologiju odnosno 73,394%, što je za 1.968% manje u odnosu na prošlu ak. 2023./2024. godinu. Ocijenjeno je 59 nastavnika/suradnika, što je za jedan više u odnosu na prošlu ak. 2023./2024. godine (Slika 1).
Studenti su nastavnike i suradnike ocjenjivali ocjenama od jedan (najlošija ocjena) do pet (najbolja ocjena). Postignuta prosječna ocjena po svim pitanjima na razini cijelog Sveučilišta za nastavnike i suradnike je 4,78. Postignuta prosječna ocjena na razini cijelog Odjela je 4,776
(Slika 1). Važno je istaknuti da je 52 nastavnika/suradnika (88,13%) Odjela za biologiju ocijenjeno ocjenom 4,5 i višom što ukazuje da su nastavnici/suradnici Odjela za biologiju visoko posvećeni kvaliteti izvođenja nastave.

Prosječna ocjena prema postavljenim pitanjima ocijenjenih nastavnika/suradnika za sve studije Odjela bila je ista ili iznad prosječne ocjene prema postavljenim pitanjima na razini cijelog Sveučilišta (Tablica 1).

U kontekstu promatranja postignutih ocjena važno je promatrati i uspjeh studenta (Slika 2).

Detaljni rezultati Jedinstvene sveučilišne studentske ankete dostupni su u Uredu za kvalitetu Odjela za biologiju.





